色漫网

关于开展经济管理学院2019年本科生国家奖学金答辩工作的通知

发布人:努尔夏提 发布时间:2019-09-21 点击次数:

学院全体本科生:

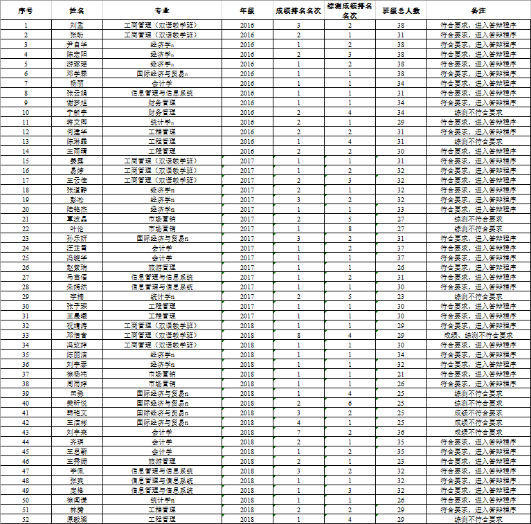
    根据《色漫网 (武汉)国家奖学金评选办法》的相关要求,学院国家奖学金评审小组本着公开、公正、公平原则,现确定以下同学通过资格审核,进入答辩程序,上学年综合素质测评排名、学习成绩排名均位于班级前10%可以参加答辩展示。届时欢迎各年级同学到场学习观摩,并积极向优秀同学看齐。

        公示如下:


答辩安排:

时间:9月2416:00-17:30(上半场) 18:30-20:30(下半场)

地点:MBA楼208教室

形式:采用“3+1”答辩方式,即答辩者从德、智、体、美、劳五方面进行3分钟PPT展示,表述自身申请优势,评委进行1分钟提问并打分。


注意事项:

1.场次及答辩顺序由学生会学习服务部统一协调安排。

2.参加答辩的同学务必着装得体。

3.PPT展示按照“德智体美劳”五方面进行汇报,展示时间为3分钟,评委提问时间为1分钟。

4.详细事宜由学生会学习服务部进行通知。  


对上述信息有疑问的同学,请于20199月2317:00前与学工组联系,联系人:张老师,电话:67883208



经管学院学工组

2019年9月21日